In this page you will learn about SURDS, a Mathematics Paper 1 topic that covers the surd definition, value estimation, manipulations, observation and restrictions that is also a recommended learning topic for grade 10 students. Study or download the notes with questions and answers.

or
Also Checkout 👇
Join and follow our social media accounts to stay ahead of the curricula for Mathematics, Mathematical Literacy and more subjects. with our termly updates. Get access to notes, exercises, past question papers, and more learning resources tailored specifically for Grade 10, 11, and 12 students.
About SURDS
In these notes you are going to be able to learn about SURDSÂ as you go through notes and exercises to help you practice calculating and solving relevant questions. Make sure to go through all the notes, questions and answers and also complete the Mastery Quizzes so that you can deepen your understanding and master this topic.
Note that “SURDS” is a sub topic and you can also access more grade 10 notes, questions and answers under the main topic “Numbers And Number Patterns” which is one of the recommended learning topics in the Grade 10 Mathematics Curriculum. Â Â
What is a Surd?
A surd is an irrational number that cannot be expressed as a simple fraction, usually involving a square root, cube root, or other root that cannot be simplified into a whole number.
Example:
Â
Check out Types Of Numbers since this example was explained
It is not rational, but irrational. While it does exist, it is an infinite decimal that doesn’t repeat.
\[\sin ce\;\sqrt9\;=\;3\;and\;\sqrt[3]8\;=\;2\;\\are\;rational\;numbers\;\\and\;not\;surds\] \[\sqrt3\;lies\;between\;\sqrt1\;and\;\sqrt4\\i.e\;\sqrt3\;\;lies\;between\;1\;and\;2\\then\;we\;can\;write\;it\;as\\1<\sqrt3<2\]Estimating the value of a Surd
\[We\;discovered\;that\;\\a\;surd\;like\;\sqrt3\;\\does\;indeed\;exist,\;but\\\;its\;value\;is\;somewhat\;\\”awkward.”\]
Study And Practice with AI!
As you go through these notes, use our AI to further your understanding about Surds
1. Exercises
If you use the calculator
These examples are infinite, non-repeating decimals. They do not exhibit any repeating pattern such as: which is INFINITE, but RECURRING
The most we can do is round these values, typically approximating them to two decimal places.
Therefore:
Get 100% on your exam essays!
Our essay cramming assistant is useful if you want to cram essays for subjects such as Business Studies, Economics, Geography, History, Home Languages, First Additional Languages and more…
Manipulations & observations with Surds
It’s important to understand how to work with surds since they appear in various mathematical topics, such as Trigonometry, Analytical Geometry, and Algebra.
ExercisesÂ
1. Finish and finalize the process. Then, express a property or law both algebraically and in written form.
1.1
1.2
1.3
2. Complete the following
2.1
2.2
2.3
Answers Without Explanations:
1.1

You can Test this on other numbers using your calculator
1.2

Consider positive values of a and b
1.3

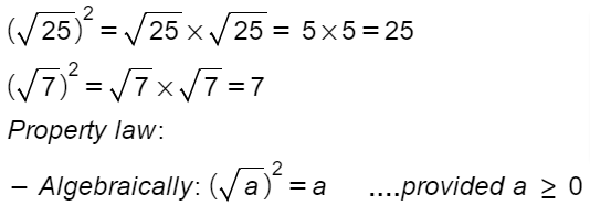
- In words: If I square root a number and then square it, (or vice versa), I will get the number (as long as it is not a negative number!)
2.1

2.2

2.3

Here’s an important surd law
If a and b are not negative:
as shown above
So the REVERSE must also hold true:
i.e if a & b are not negative
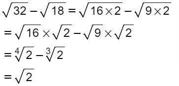
simplified surds:
3. Complete the following
3.1
3.2
3.3
3.4
4. Complete the following:
4.1
4.2
4.3
4.4
Answers Without Explanations:
3.1

3.2

- these are'simplifiedsurds'
3.3

3.4

4.1

4.2

4.3It cannot be simplified. We can only add or subtract surds that are alike!
4.4

Want To Master SURDS?
Sign up for free and complete the Mastery Quizzes to deepen your understanding of this topic.
5. Restrictions on Surds
5.1What about Does it exist?
Try ,
These both add up to +9, right?
5.2 Ultimately, whenever we write down a number, such as 8, it is understood to be +8. Similarly, when we write…meaning
SURDS SUMMARY OF IMPORTANT RESULTS
For all values of a and b that are positive or zero (not negative).
However
Compare:
Now it can be said that ‘Opposite operations cancel each other’. adding & subtracting • multiplying & dividing • squaring & ‘square rooting’
Other Grade 10 Math Notes
Do you have any query regarding Questions and/or Answers? Let us know👇
Other Practicing Material
- Newest
- Oldest
- Most Viewed